© Paulien Cornelisse
In deze extra column bij haar tv-serie Tokidoki heeft Paulien Cornelisse het over het lezen en schrijven van het Japans. 'Een naam als Paulien is moeilijk te transponeren, maar ik maak er meestal Po-rii-n van.'
'Ik denk niet dat er één taal is die qua schrift zo ingewikkeld in elkaar zit.'
'Een naam als Paulien is moeilijk te transponeren, maar ik maak er meestal Po-rii-n van.'
Bekijk Pauliens tekeningen
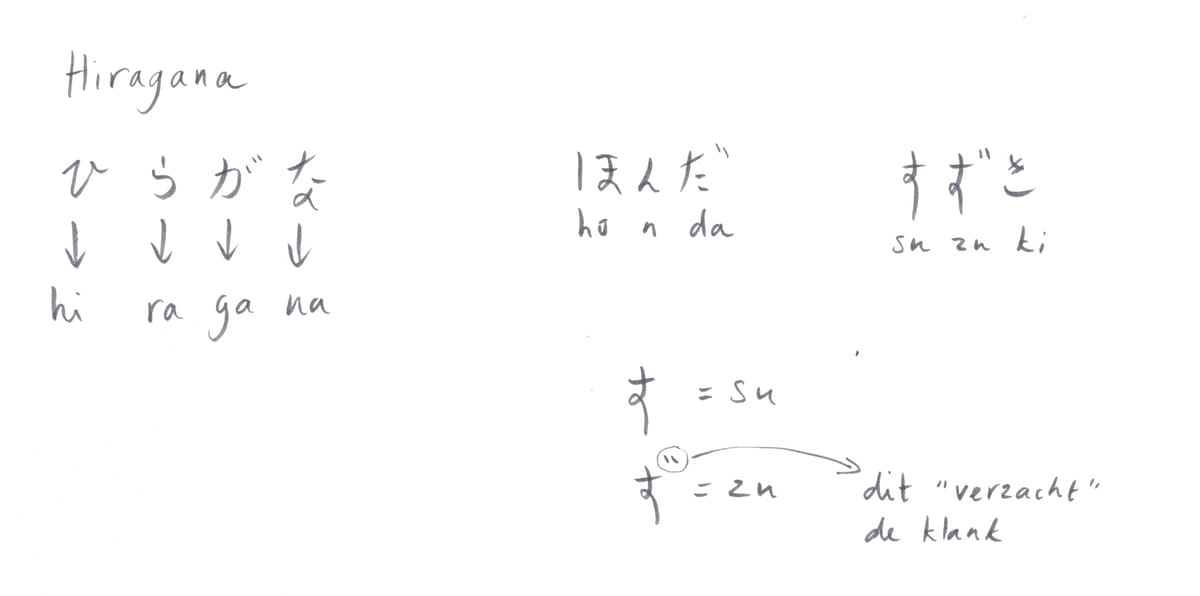
In Tokidoki zie je hoe Paulien Cornelisse (aan)tekeningen maakt in haar reisdagboek. Kijk hier met haar mee.
meer Tokidoki
over het programma
Paulien Cornelisse gaat in Tokidoki op onderzoek in Japan. Elke aflevering van Tokidoki – Japans voor ‘soms’ – is opgehangen aan een uniek Japans woord.
Paulien over haar Japanliefde
In dit artikel leidt Paulien Cornelisse je mee langs haar levenslange fascinatie voor Japan aan de hand van Japanse woorden.